如若转载,请注明出处:http://www.xiaozhushengqian.com/product/712.html
更新时间:2025-09-30 14:41:41
免费领源码 基于ssm框架的网上购物系统 12503,计算机毕业设计项目推荐上万套实战教程java php,node.js,c python 大屏数据可视化
基于SSH的校园网上购物系统Javaweb、MySQL、JSP
java网上购物商城管理系统jsp图书电器服装数码配件商城web源码bs
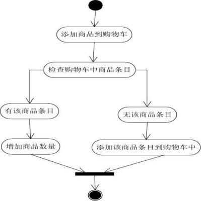
网上购物系统课程设计报告
计算机毕设springboot生鲜网上购物系统 基于spring boot的生鲜电商在线购物平台开发 spring boot框架下的生鲜产品网络销售系统设计与实现
flask框架的网上购物平台n5g13 程序 论文 python
数智赋能未来 郑州航空港区数字化产业地图正式上线
ssm计算机毕业设计疫情状况下生活物资集体团购系统java
毫米级智造,全流程可见丨客来福4.0工厂的效率跃升及品质进化
智慧工厂监测和预警分析系统--解放号